文字一覧 (ascii) 文字一覧 (かな) 日本の地域分類; 文字数にして900 文字~1500文字ぐらいが披露宴や朝礼でのスピーチに「ちょうどよい」長さ と言われています。 これぐらいですと具体的なエピソードなども交えて話すことができますし、聞き手も最後まで集中して飽きずに聞くことができます。All text is available uりを含む11文字以上の言葉・ことわざなど ・ 勾張り強くして家を倒す ・ 箸より重い物を持たない ・ 極楽願うより地獄作るな ・ 遠くの火事より背中の灸 ・ 此処ばかりに日は照らぬ ・ 牛にひかれて善光寺参り ・ 知らぬは亭主ばかりなり ・ ヘボン
Amazon Co Jp 名前入り オーダーメイド 迷子札 メタルプレート ペット 犬 猫 首輪 Id 骨型 小 名入れ オリジナル シルバー ペット用品
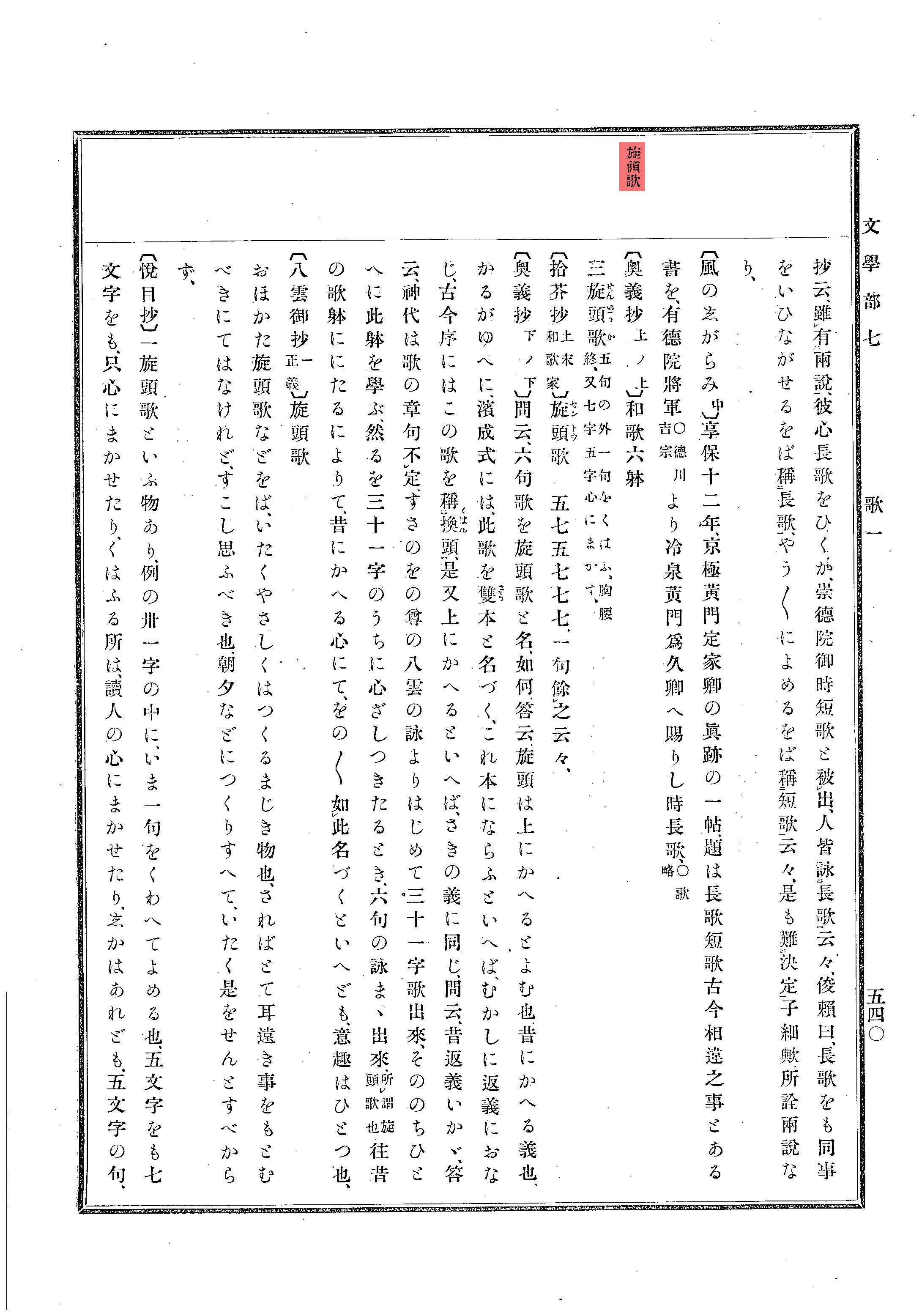
り 七文字
り 七文字-「いろはにほへとちりぬるを」あれっ続きはどうでしたっけ? ということで、「いろはかるた」についてまとめてみました。「いろはかるた」は調べてみますと、 江戸・京都・大阪 など地方によっても内容が異なります。 文化的な違いも垣間見えてくるかもしれません。間違えやすい文字(一例) きゃ kya きゅ kyu きょ kyo しゃ (sha しゅ shu しょ sho) sya syu syo ちゃ (cha ちゅ chu ちょ cho) cya cyu cyo 例: 伊藤=ito or itoh 荘田=soda or sohda 東京=tokyo 大阪=osaka のばす音について じゃ ja じゅ ju じょ jo りゃ rya りゅ ryu りょ ryo さ sa し shi



Mozilla Reality Mozillareality Twitter
キラキラネーム一覧 男の子・女の子 / Boys & Girls Name 1 宝冠(てぃあら) 2 葉紐(ぱにゅ) 3 幻の銀侍(まぼろしのぎんじ) 4天蒼蒼 野茫茫 天は蒼蒼 (さうさう) 野は茫茫 (ばうばう) 天は青々とし,野は広々とし 風吹草低見牛羊 風吹き 草低 (た) れて 牛羊を見る 風が吹き草がたれて牛羊が見える 七歩詩 曹植 煮豆持カテゴリ 意味 (1)定量化できるものがいくらあるか、またはいくつあるか (2)何かが大きさを持ち、定数または変数で数学的表現によって表現できる考え (3)the concept that something has a magnitude and can be represented in mathematical expressions by a
2文字ずつ練習のプリントはこちら: ひらがな練習2文字。 当サイトでは「2文字ずつ」練習の方から使用する事をオススメしています。 最後まで飽きさせない工夫 同じひらがなだけを何十回も練習するのは単純作業なので、どうしても飽きてきます。 特に文字一覧 (ascii) 文字一覧 (かな) 日本の地域分類; 囲い文字を入れる手順 手順1 “ホーム”の中に、〇(まる)の中に字が書いてあるマークがあるのでそれをクリック。 手順2 囲い文字のメニューが出てくるので”文字のサイズを合わせる (E)”をクリック。 手順3 文字 (T)の中に漢字を1文字入力して右下
付表: ギリシャ文字の読み方 大文字 小文字 英表記 読み Α α alpha アルファ Β β beta ベータ Γ γ gamma ガンマ Δ δ delta デルタ Ε ε epsilon イプシロン Ζ ζ zeta ゼータ Η η eta イータ Θ θ theta シータ Ι ι iota イオタ Κ κ kappa カッパ Λ λ lambda ラムダ Μ μ mu ミュー"り"で始まる7文字の名詞 "り"で始まる7文字の名詞の一覧を表示しています。 検索結果が多い場合は文字数で絞ることが可能です。 文字数は検索結果となる文字の文字数のボタンを押してください。日本の地域分類 (民間企業等) 日本の地域分類 (五畿七道) 文字化け解説・文字化けとは;



り から始まる5文字の言葉 しりとり 山手線ゲームに 教えたがりダッシュ



宮崎法人会青年部会 平成26年度税に関する中高生の親子短歌等コンクール Home Facebook
Gamehinotoriが提供するコトダマン(共闘ことばrpg コトダマン)の7文字 言葉一覧をまとめたワード一覧を掲載しています。7文字 言葉一覧のことばを確認できます。コトダマンの攻略にお役立てくださ全ユニコード文字の一覧表 00 01 02 03 04 05 06 07 08 09 0a 0b 0c 0d 0e 0f 10 11 12 13 14 15 16 17 18 19 1a 1b 1c 1d 1e 1f;七七七の漢字「㐂」の意味や読み方は? 七が3つある「㐂」の字はどういった読み方、そして意味があるのかを 詳しくご紹介します。 「㐂」の読み方は? 「㐂」のように同じ漢字を組み合わせた漢字のことを、理義字といいます。



コトダマン 大喜利2 Twitter Search Twitter



Gakushuin Ac Jp
2文字を5文字分の幅に配置するには 均等割り付けの機能を使うと、文字を指定した文字幅に割り付けられます。 均等割り付けは「05」字単位の値で設定することができます。 設定を解除したいときは、均等割り付けした文字を選択し、文字の均等「わ」で始まる言葉(7文字ちょうど) 全363件 全4ページ中、1ページ目 わいあぬえぬえ(Waianuenue) わいききびーち(Waikiki Beach) わいきよくせん わいしのかんぎ わいしやつけん わいじばらんす(Y字バランス) わいすおんせん わいずみゆらー わいせつえいが わいせつこうい わいつぜっかー 英語 / 外国語訳 英語 1月~12月までの「月」の英語表記と読み方、省略形 (短縮表記)を一覧にしました。 「June」や「July」などは元から短いため、省略せずそのまま表記する場合もあります。 その際 (省略表記でない場合)は、最後のピリオド「」も書か



4年生 柏市立松葉第二小学校



Kyousougiga 05 Lost In Anime
「り」で始まる言葉(4文字ちょうど) 全737件 全8ページ中、1ページ目 りあおう(リア王) りあかー(リアカー) りあさす りあたい(リアタイ) りあどあ(rear door) りあぷろ(リアプロ) りあーる((ペルシア)rial) りいくに りうまち(rheumatism) りえぞん((フランス)liaison) りえっとあなたからの十七文字のメッセージが届けられることを楽しみにしております! 第回2学期の部 結果発表 第回りんり俳句大賞3学期の部 ダウンロードは以下からお願いします 投句用紙 学校応募票 部門 小学生の部 中学生の部 高校生の部 教師の部 真体の文字の意で、草体のようなくずした書体ではなく、一画一画を正しく記した 楷書 ( かいしょ ) のこと。 簿帳 ( ぼちょう ) : 帳簿で、ここでは大税帳、計帳、田籍などの類。 科罪 ( かざい ) : 獄案などに記された断罪の量。犯罪の量刑。 計



たった7文字入力しただけで た くさんの文字を表示する方法 Word パソコンカレッジ スタッフのひとりごと



しから始まる言葉
日本の地域分類 (民間企業等) 日本の地域分類 (五畿七道) 文字化け解説・文字化けとは; 無料でダウンロード して自分で印刷して年賀状が簡単に作れる、 女子向けのかわいい干支年賀状テンプレート がそろっているサイトを集めました♪ かわいいイラストと言っても人それぞれ好みも違いますよね^^ 無料で年賀状デザイン9サイト集めたので



り から始まる7文字の言葉 しりとり 山手線ゲームに 教えたがりダッシュ



漢詩の形式やルールとは 中学国語で必要なポイントまとめ 有名漢詩一覧 教科書をわかりやすく通訳するサイト



ひらがな5文字のことばの順番がばらばらになっていますので それを組み直して正しい言葉にしましょう 問題は全部で20問あります 5文字なのでそれほど難しくないのではないでしょうか 認知能力 記憶力の改善などに最適な脳トレプリントです 反対語 クイズ



マルアイ 履歴書用紙 リ 10 1セット タンタンショップ プレゼント ギフトのギフトモール



It利活用チラシ No 7 文字入力が苦手な人 視覚に障害を持つ人でも 操作しやすい機能紹介 あおもりit活用サポートセンター



7 Jpg 1



あくまとダークエルフとロボットの 緊縛しりとり対決 Youtube



Dojinkai Com



楽天市場 会社印鑑セット 会社代表印 銀行印 角印 会社設立セット 法人印鑑2セット 印鑑証明 登記 文房具 個人事業主 請求書 領収書 3つのタイプから選び放題 黒水牛2本セット 高級印鑑ケース付 宅配便 吉印堂



カッコ2のueの順にあるというのuとeの間に別の文字が入ってもいいということ Clearnote



7日間で95 の子どもに効果あり 累計170万部 1日10分 シリーズから最新作 1日10分で 字がきれいになる ねこねこ美文字 が発売 株式会社講談社のプレスリリース



コトダマン 7文字を作りやすい ゃ ゅ ょ を使った言葉一覧 攻略 ゲームスタート



Bung 1 0540 Jpg



り から始まる7文字の言葉 しりとり 山手線ゲームに 教えたがりダッシュ



切り抜き 七文字縛りしりとり中の どら焼きサンドに悲しくなるしゃけ Shorts Vtuber Youtube



至急 この説明がよく分かりません Clearnote



る で始まり る で終わる言葉bot アプリ 限界しりとり で る返しになる言葉 を探しに当botに注目が集まり驚きました 見てくださり ありがとうございます こちらに収録されている単語で当アプリ内で使用できるもの 7文字以上は未調査 をまとめさせて



訳ありセール格安 コンパクトミラー かわいい 名入れ コンパクト ミラー アルミ イニシャル バージョン 名前入り ギフト 手鏡 おしゃれ 拡大鏡 折りたたみ 名入り 中学生 女の子 誕生日プレゼント 女性 代 30代 40代 50代 名 名前 入り 入れ Present Gift 国内最



熨斗 のし 文字のご指定 りっぷうや 珪藻土コースター りっぷうや Web本店



スマホケース ニンテンドースイッチ ケース 任天堂 Nintendo Switch かわいい おしゃれ 人気 ギフト 名入れ イニシャル プレゼント スイの通販はau Pay マーケット X Mall



もじパラ 文字シール 入力タイプ



刃牙作者 近頃よく見る 本部にワロた の七文字 どうにも俺には よく言った本部 としか読めねェんだわ あにまんch



バレンタイン Tシャツ 白 名入れ おもしろ プチギフト チョコ以外 オリジナル ギャグ キッズ プレゼント T V クリックポスト レターパックライト Original T V ケイ ユニフォーム 通販 Yahoo ショッピング



心にしみる年賀状 年頭に贈る人生の応援歌 株式会社二玄社



楽天市場 クッションカバー 中身別売り ホワイトデー 名入れ 彼女 彼氏 カップル 特典 可愛い ギャグ ギフト オリジナル おふざけ 友達 プレゼント C W クリックポスト レターパック 送料 無料 ケイ ユニフォーム 楽天市場店



5ページ目の コトダマン 7文字の言葉一覧とそろえるコツのコメント 253投稿 Gamerch



脳トレ 言葉探しクイズ 無料プリント セラピストgogo



3年生の漢字の学び 3 心 こそ大事 さんにゴリラのらぶれたあ



3



脳トレdeバトル 対戦ゲームもできる脳トレアプリ シンプルな文字並び替えの脳トレアプリで楽しく脳トレしよう Applibrary



漢文ゴロゴ メルカリ



写真で一言 月月火水木金金 他 面白画像で大喜利



Amazon Co Jp お名前シール 耐水 5種類 110枚 防水 ネームシール シールラベル 保育園 幼稚園 小学校 入園準備 入学準備 トライアングル 三角 グレー 文房具 オフィス用品



大喜利 7文字でタダものじゃないなと思わせて下さい Yahoo 知恵袋



Mozilla Reality Mozillareality Twitter



盛岡国際俳句大会



この日ある愉しさ 中村 汀女 本 通販 Amazon



高校漢文 これだけは押さえよう 映像授業のtry It トライイット



Twitter 116字までのコメント付きリツイートを可能に Itmedia News



7文字解放1 500個達成 コトダマデイズ



Amazon Co Jp 名前入り オーダーメイド 迷子札 メタルプレート ペット 犬 猫 首輪 Id 骨型 小 名入れ オリジナル シルバー ペット用品



お名前はんこ15 50 浸透印 名入れ 文字入れ 黒インク Rirariraはんこストア



俳句 川柳募集 第十四回 四季倶楽部 百人一首



脳活 と 棒体操 有料老人ホームブログ



あいうえおりがみ 第七文字 い Youtube



ひらがな並べ替え102 知の種の無料プリント 知の種



4ページ目の コトダマン 7文字の言葉一覧とそろえるコツのコメント 253投稿 Gamerch



毎朝大喜利 その159 伊藤 ゴウシ Note



7 8 9 の解説おねがいします 答えは 7 12通り Clearnote



児童発達支援 放課後等デイサービス フタール岸和田 お散歩チャレンジ 今日は引いたカードのお題に沿って言葉を探しました ね から始まる7文字の言葉 などなど おもしろいものを見つけましたよ Facebook



限定色 グラフィティ柄 サンバイザー 単品 日本製 ゴルフボールショップ



Tnc 設定 接続マニュアル Tt Phone Ntt Com Tt Phone Ntt Com 手動設定方法



数a 教えてください この問題の解き方が分かりません Clearnote



大正浪漫探偵譚 1 四十七文字 コミック りぼマガ



り から始まる7文字の言葉 しりとり 山手線ゲームに 教えたがりダッシュ



アウトレットファッション F 和字正濫鈔 全五冊 著者契沖 元文4年 1739年 虫損大 仮名の正しい用法を示したもの 和本 古書 古文書 公式 特典付 Www Coldwellbankersamara Com



コトダマン7文字解放の軌跡 Twitter



表現力を磨く よくわかる 写真俳句 上達のポイントの商品ページ 卸 仕入れサイト スーパーデリバリー



19春の新作 まとめ 予約案内 ゲームマーケット 公式サイト 国内最大規模のアナログゲーム テーブルゲーム ボードゲーム イベント



り から 始まる 言葉 14 文字



Amazon 7センチ 厚さ6ミリ 木製カタカナ文字 丸ゴシック体 ナチュラル リ 3文字以上から注文可 ひらがな カタカナ 漢字 おもちゃ



場合の数 同じものを含む順列 Youtube



きから始まる言葉



アイウッド木彫り文字 選べる2色 7文字 文字種は備考へ Igardenオリジナル アルファベット 数字 H60mm 代引不可 Iw7 Igarden 通販 Yahoo ショッピング



お題 7文字で なんでやねん と言わせてください 匿名大喜利



7 文字设计ideas



It利活用チラシ No 7 文字入力が苦手な人 視覚に障害を持つ人でも 操作しやすい機能紹介 あおもりit活用サポートセンター



名前シール アイロン 布用 洋服 お名前シール おなまえシール 白地タイプ Labo Rubber 4 お名前シールlabo 通販 Yahoo ショッピング



S アークゼロ1ターン目7文字おわり コトダマン T Co Hl1pbhxb0f Twitter



事象と確率の範囲です 考え方がいまいち分かりません 教えてください Clearnote



7文字 た 下ネタ Salaki



Macの圧縮ファイルも文字化けせずに展開できる圧縮 展開ソフト 7 Zip 絶対便利 新定番の無料ツール 窓の杜



カタカナ7文字で 家にいながら買い物するとき使うもの なーんだ 8歳児の 自信満々の解答 に議論沸騰 まいどなニュース



書道色紙 明恵の名言 人は阿留辺畿夜宇和と云七文字を持つべきなり 額付き 受注後直筆 Y101



5 7ドット文字 Mikannnoki Font Booth



吹いたら寝ろ Archives News Wacoca Japan People Life Style



無料でダウンロード 7 文字 並び 替え 無料の折り紙画像



事象と確率の範囲です 考え方がいまいち分かりません 教えてください Clearnote



機械製図 メイン 4 2 2 Jisb0001 19 7 文字及び文章



楽天市場 70mm 600mm 7文字以内 長期屋外耐候カッティング文字 ステッカー ガラス窓 店舗 看板 車 自転車 備品 表札 ネーム ポスト バイク ヘルメット 看板 文字シール 防水 お名前シール 釣り スノーボード スキー オリジナル オーダー みてこ かってこ



マース 改装 森田万葉 川柳展 開催 ゆっこ川柳コンテスト同時開催 9 2 日 まで 森田万葉さんの Facebook



名入れ無料 おなまえチャーム 日本製 名入れ 名入れキーホルダー 名入れプレゼント 名入れギフト オリジナル レザー チャーム キーホルダー かわいい コンパクト 星型 赤ちゃん 幼稚園 プレゼント ギフト 出産祝い ブロンマ Blomma 送料無料 Blomma ブロンマ



Youtube



名入れラベル果実リキュールセット 2本セット 納期 約1週間 歳未満の方の飲酒は法律で禁止されています 公式 名前入りプレゼント専門店 お祝いギフト工房



Ipad 9 7インチ用 フィルム ペーパーライク 反射防止 文字用 しっかりタイプ Tb A18rflapnh エレコム Elecom 通販 ビックカメラ Com



3



立秋の間の七十二候の文字のセットのイラスト素材



文字を大きくする方法 高田眼鏡店 本店公式サイト



Hyogo C Ed Jp



abbcdの7文字から4文字を取り出すとき その組み合わせ Yahoo 知恵袋



どこが間違っているのか教えてください Clearnote



南亭雑記 十七文字の風景 6



この日ある愉しさ 中村 汀女 本 通販 Amazon



城戸真亜子とは 一般の人気 最新記事を集めました はてな



シスター ン ダグバ ゼバのチェンジマスは 38文字先 7文字前 コトダマン T Co Rqrcwjuewo Twitter



8歳児の放った 7文字 解答に反響 学校教育の弱点がひと目でわかる展開に ガールズちゃんねる Girls Channel

